不知火菊が皮膚の弾力に関わる、
HSP47の発現を亢進することを発表
日本薬学会第136年会
2016.03.26
学会発表
再春館製薬所 研究開発部と熊本大学は、不知火菊(しらぬいぎく)がHSP47の発現を亢進することを確認しました。
これは「日本薬学会第136年会」で発表した内容(※1)です。
皮膚におけるANGPTL2(※2)の発現が、慢性炎症および酸化ストレスを惹起することや、メラノサイト活性化因子の産生を亢進させることが、これまでの研究で明らかになっていました。
本研究では、
・Angptl2の発現を抑える生薬原料の探索
・Angptl2がシミ形成に関与する可能性
・Angptl2発現抑制生薬のその他効果の検証
を目的として研究を行いました。
- ※1 発表名
- 「不知火菊抽出物のAngptl2発現抑制効果と老化促進因子が及ぼす肌への影響」
- ※2 ANGPTL2
- アンジオポエチン様因子2。組織の修復に重要なタンパク質だが、過剰に分泌されると慢性炎症を引き起こし、老化を促進したり、糖尿病や動脈硬化、がんといった生活習慣病の発症・進展に関与する
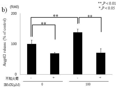
不知火菊がANGPTL2を抑制する
不知火菊抽出物をメラノーマ細胞(※1)に添加し、Angptl2の発現をELISA法(※2)を用いて検討しました。
結果、不知火菊抽出物の添加によって有意にAngptl2の発現が低下しました。
これにより、不知火菊にAngptl2発現抑制効果を確認できました。
- ※1 メラノーマ細胞
- 日本語では悪性黒色腫とも呼ばれ、皮膚のメラニン色素を作るメラノサイト(色素細胞)ががん化した腫瘍由来の細胞
- ※2 ELISA(イライザ)法
- 酵素結合免疫吸着測定法の略で、抗原抗体反応の原理を利用して、サンプル中の目的成分(抗原や抗体)を酵素反応による発色や発光で検出し、その量を定量する分析方法

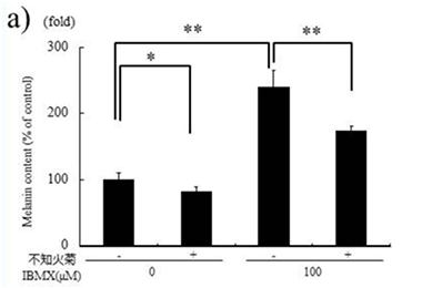
不知火菊は
メラニン合成阻害効果も持つ
不知火菊抽出物をメラノーマ細胞に添加し、細胞内メラニン量を測定したところ、不知火菊抽出物の添加によって有意にメラニン量が低下しました。

不知火菊に老化抑制効果が
あることを確認
不知火菊抽出物をAngptl2過剰発現細胞に添加し、各炎症性サイトカインの発現量を比較したところ、ANGPTL2の発現増加に伴う炎症性サイトカインの発現抑制を確認しました。
不知火菊はHSP47の
発現を亢進する
コラーゲン特異的分子シャペロンであるHSP47は、コラーゲン線維生成の初期段階に必要で正しい三本鎖構造を形成するのを助けるタンパク質です。またコラーゲン線維の生成割合とHSP47の発現は相関し、HSP47の低下は皮膚の弾力に関わるコラーゲンの質や量を低下させると考えられています。
今回、不知火菊抽出物をヒト線維芽細胞(NB1RGB)に添加し、HSP47発現量の測定を行い、添加濃度依存的にHSP47発現が上がることを確認しました。

不知火菊研究の展望
不知火菊抽出物は皮膚における抗老化ターゲットであるメラニン合成抑制、Angptl2発現抑制、またAngptl2発現増加に伴う種々の炎症性サイトカインの発現を抑制することから、抗老化効果を持つ生薬として化粧品のみならず、食品への利用が期待されます。
更に、コラーゲン合成に関わるHSP47の発現亢進も認められたため、HSP47への関与においても検討を進めていきます。

本件に関するお問い合わせ
株式会社再春館製薬所
- 電話 ※1
- 096-289-4444
- フォーム ※2
- https://www.saishunkan.co.jp/contact/
- ※1 お電話の受付時間は平日9:00〜18:00(年末年始を除く)
- ※2 お問い合わせフォームからの問い合わせはページ最下部のフォームよりお願いします。
その際、お問い合わせの種類は「商品」を選び、記入欄に「研究開発についての問い合わせ」とご記載ください。