ミトコンドリア機能を活性化する植物素材の発見とヒト皮膚への応用効果確認
〜「山椒(サンショウ)」種子に見出されたTFAM発現促進作用〜
2026.02.27
学会発表
※日本生薬学会第71回年会(2025年9月14日〜15日開催)にて発表
1. ミトコンドリア機能とTFAMの重要性
人体の恒常性維持や皮膚の老化制御において、細胞内のエネルギー工場である「ミトコンドリア」と、その機能と量の制御を行う「TFAM(ミトコンドリア転写因子A)」は極めて重要な役割を担っています。
本研究は、「TFAMの発現を促進することでミトコンドリア機能を維持・向上させ、皮膚老化の抑制が可能ではないか」という仮説に基づき実施されました。
※ミトコンドリアと老化の関係や、「TFAM」の働きについては、以下のページをご参照ください。
ミトコンドリアに着目した根本アプローチ
2. 研究目的とアプローチ
先行研究においてTFAM発現促進作用を持つ化合物は報告されていますが、化粧品応用が可能な植物由来成分の知見は限定的でした。
そこで本研究では、以下の段階的なアプローチにより、有用素材の探索と検証を行いました。
- ①スクリーニング:500種類を超える植物抽出物から、TFAM発現促進作用を持つ素材を選定する。
- ②細胞試験:ヒト由来培養細胞を用いて、ミトコンドリア機能に対する効果を検証する。
- ③ヒト試験:ヒト皮膚における効果を臨床的に評価する。
3. 結果:「サンショウ(山椒)」種子の高い有用性
500種類を超える植物ライブラリー(葉、茎、根、種子など多様な部位を含む)を対象としたスクリーニングの結果、最も顕著なTFAM発現促進効果を示したのが、「サンショウ(Zanthoxylum piperitum)」の種子加水分解物でした。
一般的にサンショウの果皮は香辛料として広く利用されていますが、種子は活用されることなく廃棄されていた「未利用部位」です。本研究により、これまで活用されてこなかった種子に高い活性が確認され、機能性素材として有効活用できる可能性が見出されました。
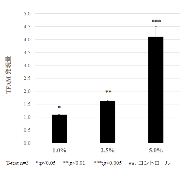
TFAM発現促進効果
ヒト皮膚線維芽細胞を用いた試験において、サンショウ種子加水分解物は濃度依存的な効果を示しました。
特に濃度5.0%の条件下では、対照群(コントロール)と比較して約4倍以上の発現量増加が確認されました。


4. 細胞レベルでの機能検証
サンショウ種子加水分解物の添加によるミトコンドリア機能への影響について、多角的な評価を行いました。
① ミトコンドリア量の増加
【試験概要】
ヒト皮膚線維芽細胞に被験物質を添加して24時間培養した後、ミトコンドリアを特異的に染色する試薬を用いて染色を行い、蛍光測定によりミトコンドリア量を算出しました。
・結果:20ppm添加群で対照比約1.13倍のミトコンドリア量の増加が認められました。
・考察:TFAMの増加に伴い、ミトコンドリア新生が誘導されたことを示唆しています。


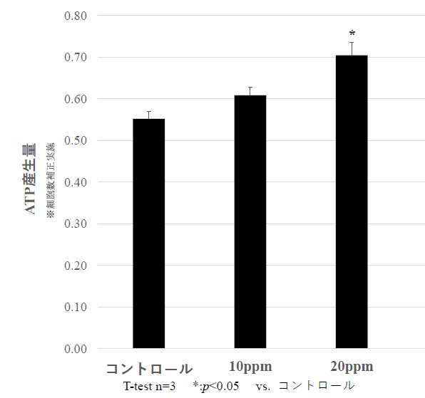
② ATP産生能の向上
【試験概要】
同様に細胞へ被験物質を24時間作用させた後、ATP測定キットを用いて細胞内のエネルギー産生量(ATP量)を定量しました。こちらも細胞数による補正を行い、単位細胞あたりのATP産生量を算出しています。
・結果:20ppm添加群において、細胞内ATP量が1.3倍に増加しました。
・考察:ミトコンドリアの増加に伴い、エネルギー産生能力も向上していることが裏付けられました。

③ ミトコンドリア由来活性酸素(mtROS)の抑制
【試験概要】
被験物質で処理した細胞に対し、ミトコンドリア由来の活性酸素(mtROS)のみを選択的に検出する特殊な試薬を用いて染色し、その発生量を測定・評価しました。
・結果:20ppm添加群で約25%の活性酸素抑制効果が確認されました。
・考察:エネルギー産生を活性化させつつも、老化要因となる酸化ストレス(ROS)の発生は効果的に抑制されており、ミトコンドリア機能の質が向上していると考えられます。


5. ヒト試験:ほうれい線への効果
サンショウ種子加水分解物のヒトにおける効果を確認するため、ヒト半顔モニターを実施しました。
【試験概要】
・被験者:当社男性社員の30代〜50代の20名
・期間:12週間
・方法:顔の左右それぞれに「被験物質(サンショウ種子加水分解物)配合クリーム」および「プラセボ(非配合)クリーム」を1日2回塗布するランダム化比較試験。
【結果:ほうれい線深度の変化】
12週間の塗布後、3D皮膚画像解析装置を用いて皮膚の変化を評価した。その結果、ほうれい線において改善効果がみられました。
| 評価項目 | プラセボ群(非配合) | 被験物質配合群 | 結果の解釈 |
|---|---|---|---|
| 平均深度 | 開始時より約10.0% 増加(悪化) | 開始時より約8.5% 減少(改善) | 改善傾向を示した。 |
| 最大深度 | 開始時より約20.0% 増加(悪化) | 開始時より約5.7% 減少(改善) | 最も深いシワ部位においても、改善傾向改善が確認された。 |
※ほうれい線の「面積」については有意差が見られなかったものの、「深度(深さ)」においては配合群で改善傾向がみられました。


6. まとめ
本研究の結果、「サンショウ種子加水分解物」はTFAMの発現を介してミトコンドリア機能を包括的に改善する有用な素材であることが示唆されました。
- 1.TFAM発現の促進
- 2.ミトコンドリア新生の誘導(量の増加)
- 3.エネルギー(ATP)産生の亢進
- 4.酸化ストレス(ROS)の抑制
- 5.ヒト皮膚における抗老化作用(シワ改善傾向)
本素材は、ミトコンドリア機能低下に起因する皮膚老化の予防・改善に寄与する新規化粧品成分として期待されます。
今後は作用メカニズムのさらなる解明を進めるとともに、皮膚外用剤以外の製品応用も進めていきます。
本件に関するお問い合わせ
株式会社再春館製薬所
- 電話 ※1
- 096-289-4444
- フォーム ※2
- https://www.saishunkan.co.jp/contact/
- ※1 お電話の受付時間は平日9:00〜18:00(年末年始を除く)
- ※2 お問い合わせフォームからの問い合わせはページ最下部のフォームよりお願いします。
その際、お問い合わせの種類は「商品」を選び、記入欄に「研究開発についての問い合わせ」とご記載ください。